Environmental Systems
Quiz: Graphical Integration
A quiz about graphical integration of stocks based on independent flows.
After completing this worksheet, you should be able to sketch the change of a stock over time depending on constant or linearly changing flows.
Graphical integration of constant rates
The following exercises assume a very simple model just comprised by a one stock and one flow. Sketch how the stock will change over time depending on the flow.


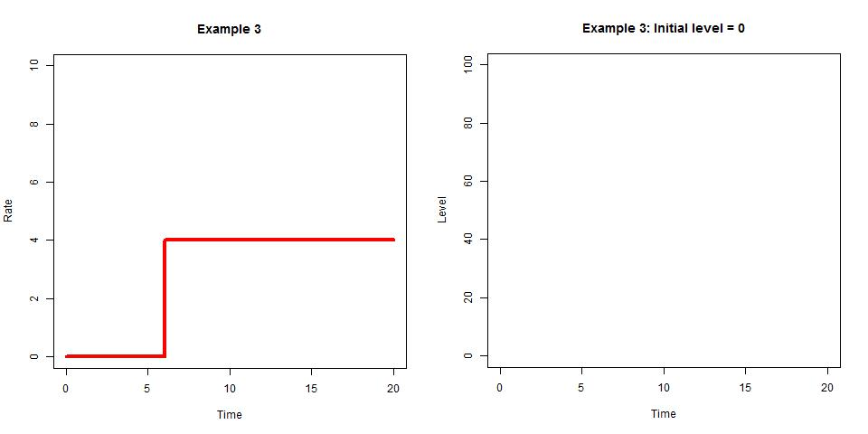
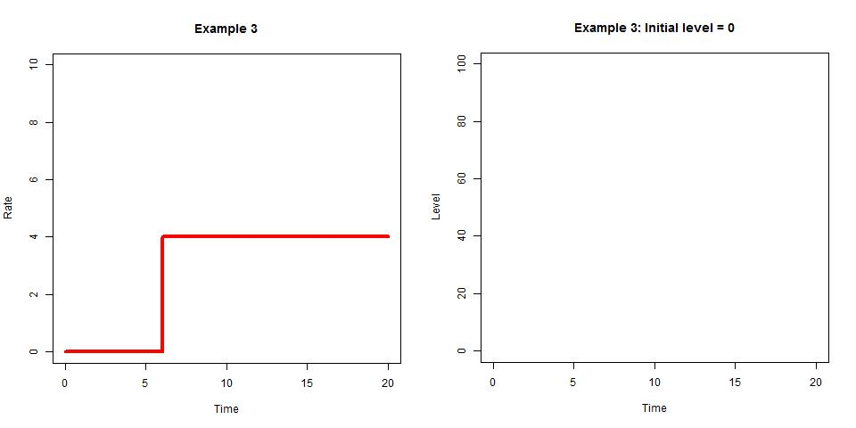
Graphical integration of stepped rates
The same model as above is assumed also in this exercise. So we can directly go on.



Graphical integration of linearly changing rates
Again the same model, but this time with a linearly changing rate over time.


